返回安全公告列表

联想安全公告: LEN-158939

CVE-2024-4781, CVE-2024-4782, CVE-2024-5209, CVE-2024-5210, CVE-2024-6004

漏洞概述

中危漏洞
潜在影响 拒绝服务
影响范围 联想特定产品,见本文底部受影响产品清单
漏洞编号
CVE-2024-4781, CVE-2024-4782, CVE-2024-5209, CVE-2024-5210, CVE-2024-6004

摘要描述

联想打印机报告了以下漏洞:

  • 据报告,一些联想打印机存在拒绝服务漏洞,该漏洞可能允许共享网络上未经身份验证的攻击者破坏打印机通信,直到系统重新启动。(CVE-2024-4781)
  • 据报告,一些联想打印机存在拒绝服务漏洞,该漏洞可能允许共享网络上未经身份验证的攻击者中断打印机的功能,直到手动重新启动系统。(CVE-2024-4782)
  • 据报告,一些联想打印机存在拒绝服务漏洞,该漏洞可能允许共享网络上未经身份验证的攻击者拒绝打印功能,直到系统重新启动。(CVE-2024-5209)
  • 据报告,一些联想打印机存在拒绝服务漏洞,该漏洞可能允许共享网络上未经身份验证的攻击者阻止打印机服务被访问,直到系统重新启动。(CVE-2024-5210)
  • 据报告,一些联想打印机存在拒绝服务漏洞,该漏洞可能允许共享网络上未经身份验证的攻击者拒绝打印机连接,直到系统重新启动。(CVE-2024-6004)

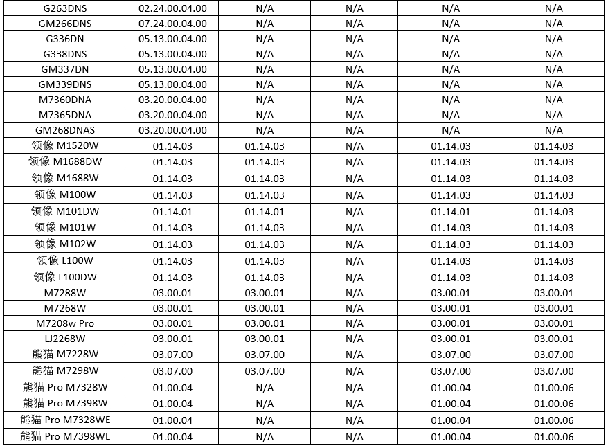
解决方案

按照下面产品影响中的建议更新打印机固件版本(或更高版本)。

下载固件更新

更新后的打印机固件下载,请在固件下载页面输入产品型号,然后点击升级。

打印机固件升级过程中如需技术支持,请联系联想图像服务中心4006600900。

致谢

联想感谢北京航空航天大学网络空间安全学院的白家驹、胡瑞楠、李铖、张东、孙雨琛、徐闻含、关振宇、刘建伟报告了这些漏洞。

修订历史

初始版本 2024-8-13

受影响产品清单

受影响产品列表第一部分 受影响产品列表第二部分